Precificação no E-commerce
O preço possui um papel central no comércio e afeta nossos hábitos e decisões de compra. Escolhas simples como comprar o quilo do tomate a R$ 10,00 ou optar por outro alimento é determinada em muitos casos por essa variável.
Por outro lado o hábito do consumidor também influencia o preço, desse modo não temos uma relação de causalidade simples, mas duas forças que se interferem mutualmente (oferta e demanda), fazendo com que o preço oscile. Um desequilíbrio em uma dessas forças pode forçar o preço a subir ou a descer.
Para elucidar a questão vamos entender o exemplo do tomate. Em abril de 2013, devido a geadas no Sul e secas no Nordeste, tivemos no Brasil uma produção muito baixa do produto. Se imaginarmos que a demanda permaneceu a mesma e a oferta diminuiu, é fácil perceber que alguém ficou sem tomates. O problema se agravou com a chegada da semana santa, que fez com que a procura do produto aumentasse, pressionando o preço para um valor ainda mais alto.
Obviamente a escolha de quem ficou sem tomate não foi feita por uma pessoa, e tão pouco aconteceu ao acaso. Com a força da demanda aumentando e a de oferta diminuindo, acabou ocorrendo um novo equilíbrio de preço, com um valor acima do anterior. O que determinou quem obteve o fruto nesse caso foi a disposição para pagar o novo valor.
Ecommerce
Imagine agora que ao invés de analisar apenas um produto e suas curvas de elasticidade “preço-demanda”, você é um player dentro de um mercado e possui dezenas de milhares de diferentes produtos, todos eles sofrendo as pressões de oferta e demanda. Esse é o atual cenário do Ecommerce, e uma das grandes perguntas ainda em aberto é: Qual o preço ideal de cada produto?
Essa resposta não é simples e o preço para cada produto, diferente do exposto no caso do tomate, não é único no mercado, podendo ter uma flutuação grande dependendo do player que se analisa. Assim, o mesmo celular pode custar R$ 3.500,00 em um site e R$ 2.980,00 em outro, e qual desses preços é o melhor?
Estratégia de Preço
A resposta para a pergunta acima é: depende da sua variável alvo. A variável alvo nada mais é do que aquilo que você pretende otimizar, podendo ser margem, quantidade vendida, valor vendido total, lucro bruto, lucro líquido etc. É importante ter em mente qual é a variável alvo ou conjunto de condições que se deseja alcançar pois a otimização de uma dessas variáveis pode gerar uma redução no valor de outra.
Por exemplo, um aumento de margem de um determinado produto geralmente vem acompanhado da redução do número de unidades vendidas. Desse modo a decisão de variável alvo deve estar casada com a estratégia que a companhia pretende adotar, e não só isso, deve ser um reflexo claro dessa estratégia.
Se a estratégia em um determinado momento é ganhar mercado, isso deve ser refletido em preços altamente competitivos e em média mais baixos que os concorrentes, gerando assim mais vendas. Caso a estratégia seja ter uma margem melhor, isso pode ser alcançado com preços levemente mais altos ou com uma negociação de custo melhor com o fornecedor.
Uma das estratégias mais complexas de se aplicar em preço é a de aumentar o lucro total. A fim de criar uma familiaridade com o problema, imagine que em um instante bem específico de tempo (tempo congelado) os preços dos seus concorrentes estão bem definidos e estáticos e cabe a você se posicionar no mercado da maneira que otimize o seu lucro.
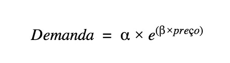
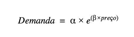
Demanda em função do preço
Lucro Bruto total em função do preço
O desafio aqui é que ao aumentar o preço a margem aumenta mas o número de vendas cai, fazendo com que se possa haver redução no lucro chegando-se ao patamar de não vender nenhuma peça (lucro zero). Do contrário, pode-se reduzir os preços, porém isso achataria a margem, podendo-se até ir para um patamar de margem negativa e prejuízo.
Felizmente, existem algumas formas de modelar esse problema, por exemplo aproximando a curva de elasticidade “preço-demanda” por uma função e a partir dela encontrar a função lucro e otimizá-la encontrando o melhor preço para o produto. No caso das figuras a elasticidade foi aproximada para uma curva do tipo:
Curva de demanda aproximada, com α e β sendo encontrados na aproximação.
Se achou que essa seria a solução para o problema, repense: tirando a condição de tempo congelado, não teríamos pontos confiáveis para encontrar a curva por existirem muitas variáveis que se alteram durante o tempo e influenciam a demanda, como por exemplo, troca de preço dos concorrentes, economia desaquecida, promoção e campanha de concorrentes, facilidade de crédito, alteração de preço no seu próprio site de um produto que canibaliza aquele que você esta analisando etc. Todas essas variáveis inviabilizam o pressuposto de uma relação simples de causalidade.
Elaboração do Modelo
Existem modelos clássicos de precificação e que ainda são utilizados apesar de suas falhas. A escolha desses modelos está muito atrelada a estratégia que deseja-se adotar.
Tabelado: nesse caso a indústria dita qual o preço deve ser praticado naquele determinado produto. Esse modelo geralmente faz com que o preço esteja acima do patamar que estaria caso houvesse uma disputa dos concorrentes pelo mercado, alargando a margem e ao mesmo tempo sem sacrificar a venda, já que os concorrentes terão o mesmo preço.
Mark-Up: com base no custo de cada produto, determina-se o preço de venda através de uma multiplicação por um valor fixo, que é o Mark-Up. Esse modelo não leva em consideração o mercado, mas baseia-se em custo, o que pode levar o preço a descolar do praticado no mercado caso se tenha uma ineficiência interna.
Menor do mercado: aplica-se sempre o menor preço de mercado. Essa estratégia é arriscada e leva a margem a ficar muito achatada, principalmente se o concorrente tem melhores condições de negociação e é mais “eficiente”. Se um dos concorrentes decide adotar a mesma estratégia, começa a existir um loop descendente de preço, levando a uma degradação da margem de ambos a patamares negativos.
Seguidor de concorrente: Nesse modelo é escolhido um concorrente alvo que serve como referência para o seu preço, que pode ser igual ou percentualmente menor ou maior que o desse concorrente. Geralmente nessa abordagem, opta-se por colocar o preço ligeiramente mais baixo que esse concorrente.
Orientado ao mercado: nesse modelo utiliza-se os preços do mercado para tomar decisão de qual deve ser o preço. Então ao invés de usar um valor do concorrente, pode-se usar as informações de diferentes players e se balizar por métricas como média, máximo, mínimo, desvio padrão, constância temporal etc.
Orientado a percepção do cliente: Cada cliente carrega consigo uma referência de preço a qual considera razoável pagar por produtos de uma determinada categoria, tal referência é conhecida com Adaptation Level (Monroe, 1979). Imagine que algumas pessoas acham inaceitável pagar acima de R$30,00 por uma camiseta, enquanto para outras, o triplo desse valor seria considerado “Ok”.
Tendo isso em vista, pode-se criar agrupamentos de produtos dentro de categorias e direcionar-las aos clientes certos. Dessa ideia pode derivar recomendações de produtos baseada em preço e até definição de sortimento baseado no “perfil de preço” do seu cliente.
Protegendo o negócio
Após a escolha do modelo, existe uma série de práticas que ajudam a proteger o seu negócio em termos de preço:
Percepção de preço: Existe um fator psicológico com relação a percepção de preços. Pela natureza da questão, não há uma explicação “racional” do fenômeno, porém dois preços muito parecidos podem passar percepções muito distintas. Desse modo por exemplo os preços “R$1.006,00” e “R$999,90” apresentam uma distância percentual muito baixa, porem o primeiro valor parece ser bem mais caro pelo simples fato de ter uma casa decimal a mais.
Se compararmos os mesmos “R$999,90” com “R$993,80” temos a mesma diferença do caso anterior, porém essa diferença aparenta ser bem menor do que no caso anterior.
Assim, é recomendável que os preços mostrados sempre passem a melhor percepção dentro de um limite especificado. Assim por exemplo, “R$71,90” pode ser mudado para “R$69,99” e “R$10.050,00” pode ser mudado para “R$9.990,00”.
Obviamente deve-se atentar para a perda com o “arredondamento”. Então talvez não seja razoável por exemplo arredondar “R$ 1.200,00” para “R$999,00” devido a diferença de valor que pode gerar um impacto grande na margem final
Travas: Ao se fazer uma precificação é recomendado ter uma série de travas que façam sentido ao seu negócio a fim de protegê-lo como por exemplo:
Ter um patamar mínimo e máximo de margem
Impedir variações muito bruscas de uma precificação para outra
Limitar o quanto o seu preço pode “descolar” percentualmente do mercado”
Próximos artigos
Tentei abordar os principais tópicos dentro do assunto “Princing no E-commerce”, porém existe uma série de outros tópicos sobre os quais gostaria de escrever como por exemplo:
Canibalização de produtos
Pricing por cliente
Loop de aprendizado comercial
Disposição a preço






